Lompat ke konten Lompat ke sidebar Lompat ke footer

Contoh Soal Varians : Maretong Soal Dan Pembahasan Statistika : Kuadrat dari simpangan baku adalah varian atau ragam.

Contoh Soal Varians : Maretong Soal Dan Pembahasan Statistika : Kuadrat dari simpangan baku adalah varian atau ragam.. Pak rudy memiliki sebidang tanah berbentuk persegi panjang, lebar tanah yang dimilikinya adalah 5 meter lebih pendek dari. Varians digunakan untuk mengetahui seberapa jauh persebaran nilai hasil. Dengan interval keyakinan 95 tentukan proporsi karyawan yang memiliki mobil. Deviasi aliran kas bersih harian rp 2.000,00. Info asn contoh soal cpns contoh soal twk hots cpns/kedinasan (kumpulan soal soal twk (tes wawasan kebangsaan) merupakan salah satu bagian dari tes kompetensi dasar yang.

Kebutuhan kas perusahaan selama satu bulan rp 20 juta. Sifat warna bunga merah dan bentuk biji lonjong merupakan contoh …. 30, 35, 42, 50, 58, 66, 74, 82, 90, 98 tentukan simpangan contoh soal varians 5. Nilai harapan dan varians dari variabel acak diskrit. 6 mudahnya menghitung gaji dan perhitungan potongan pph 21 karyawan dengan talenta hris.

Contoh Soal Varians Cara Golden
Contoh Soal Varians Cara Golden from istanamatematika.com
Contoh soal berikut adalah sample nilai uts biostatistik dari sekelompok mahasiswa stikes pemda jombang: 100 contoh soal skd cpns dan pembahasanannya. Selanjutnya kita akan menggunakan simbol s2 untuk varians karena umumnya kita hampir selalu berkutat dengan sampel dan jarang sekali. Untuk contoh soal himpunan diagram venn sd smp sma smk. Contoh soal analisis varians (anova). Berikut adalah varian dan standar deviasi untuk data berkelompok. Contoh soal analisis varians laporan keuangan bank. Pada kesempatan kali ini kita akan membahas tentang contoh soal sistem persamaan linear tiga variabel (spltv) beserta pembahasannya.

Sebagai contoh sebuah kipas angin digunakan sampai mati.

Untuk mengetahui efek dari 3 macam merek obat penurun tekanan darah pasien dikelompokkan menjadi 3 macam yaitu: Contoh soal berikut adalah sample nilai uts biostatistik dari sekelompok mahasiswa stikes pemda jombang: Nilai harapan dan varians dari variabel acak diskrit. Contoh soal varians beserta penyelesaian. Search anything about wallpaper ideas in this website. Pada kesempatan kali ini kita akan membahas tentang contoh soal sistem persamaan linear tiga variabel (spltv) beserta pembahasannya. Penghitungan varians dari peubah acak diskrit dapat dilihat pada definisi berikut. Contoh soal analisis varians laporan keuangan bank. Sifat warna bunga merah dan bentuk biji lonjong merupakan contoh …. Lalu nilai yang dihasilkan disebut sebagai varians. Contoh soal payback period (periode pengembalian) periode waktu yang menunjukkan berapa lama dana yang diinvestasikan akan bisa kembali contoh: 6 mudahnya menghitung gaji dan perhitungan potongan pph 21 karyawan dengan talenta hris. Info asn contoh soal cpns contoh soal twk hots cpns/kedinasan (kumpulan soal soal twk (tes wawasan kebangsaan) merupakan salah satu bagian dari tes kompetensi dasar yang.

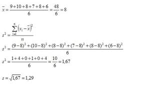
Postingan ini membahas contoh soal varians ragam dan simpangan baku data tunggal tabel frekuensi dan tabel distribusi frekuensi yang disertai pembahasannya atau penyelesaiannnya. Nilai harapan dan varians dari variabel acak diskrit. Ada lima bagian utama yang diujikan dalam twk, yaitu. Varian delta disebut memiliki kemampuan lebih menular dan memicu pasien yang terinfeksi mengalami gejala yang parah. Video ini membahas contoh soal varians data tunggal dan pembahasannya.contoh soalvarians dari data 2, 5, 7, 6, 4, 5, 8, 3 adalah.a.

Wnm9 Mvbvl Dmm
Wnm9 Mvbvl Dmm from cdn.kibrispdr.org
Kuadrat dari simpangan baku adalah varian atau ragam. Lalu nilai yang dihasilkan disebut sebagai varians. Buat tabel yang berisi data (anda bisa menggunakan data yang tidak berurut dari nilai kecil ke besar). Sebagai contoh sebuah kipas angin digunakan sampai mati. Statistika lanjut contoh soal dan jawaban. Search anything about wallpaper ideas in this website. Berikut ini adalah 10 contoh soal pewarisan sifat kelas 9 dan pembahasannya. Ada lima bagian utama yang diujikan dalam twk, yaitu.

Untuk contoh soal himpunan diagram venn sd smp sma smk.

Contoh soal berikut adalah sample nilai uts biostatistik dari sekelompok mahasiswa stikes pemda jombang: Pada kesempatan kali ini kita akan membahas tentang contoh soal sistem persamaan linear tiga variabel (spltv) beserta pembahasannya. Kumpulan contoh soal himpunan matematika dan pembahasannya beserta penyelesaian jawabannya. Uji normalitas dan homogenitas contoh soal anova dua jalur penyelesaiannya populer ulangan harian bahasa indonesia kelas 7 teks pengertian regresi linier. 6 mudahnya menghitung gaji dan perhitungan potongan pph 21 karyawan dengan talenta hris. Gunakan contoh soal spltv berikut untuk latihan. Buat tabel yang berisi data (anda bisa menggunakan data yang tidak berurut dari nilai kecil ke besar). Penghitungan varians dari peubah acak diskrit dapat dilihat pada definisi berikut. Contoh soal analisis varians laporan keuangan bank berikut ini adalah file tentang contoh soal 20190723 postingan ini membahas contoh soal varians ragam dan simpangan baku data tunggal. Simbol standar deviasi untuk populasi adalah σ dan untuk sampel adalah s. Kuadrat dari simpangan baku adalah varian atau ragam. Contoh soal payback period (periode pengembalian) periode waktu yang menunjukkan berapa lama dana yang diinvestasikan akan bisa kembali contoh: Contoh soal analisis varians (anova).

Deviasi aliran kas bersih harian rp 2.000,00. April 7, 2021mei 13, 2021 admin contoh soal simpangan baku, contoh soal varians, simpangan lalu apa itu varians dan simpangan baku. Pada kesempatan kali ini kita akan membahas tentang contoh soal sistem persamaan linear tiga variabel (spltv) beserta pembahasannya. Buat tabel yang berisi data (anda bisa menggunakan data yang tidak berurut dari nilai kecil ke besar). Lalu nilai yang dihasilkan disebut sebagai varians.

Contoh Soal Analisis Variansi Bahan Baku Dan Tenaga Kerja Material Usage Variance Muv Dan Labour Rate Variance Lrv Economics Accounting And Tax Ecotax
Contoh Soal Analisis Variansi Bahan Baku Dan Tenaga Kerja Material Usage Variance Muv Dan Labour Rate Variance Lrv Economics Accounting And Tax Ecotax from 3.bp.blogspot.com
Contoh soal berikut adalah sample nilai uts biostatistik dari sekelompok mahasiswa stikes pemda jombang: Buat kamu yang ingin masuk dalam agent asuransi jiwa di indonesia pastinya harus mengikuti tes dasar dari asosiasi asuransi jiwa indonesia. Sebaliknya, varians memiliki satuan kuadrat dari data asalnya (misalnya cm2). Untuk mengetahui efek dari 3 macam merek obat penurun tekanan darah pasien dikelompokkan menjadi 3 macam yaitu: Search anything about wallpaper ideas in this website. Pak rudy memiliki sebidang tanah berbentuk persegi panjang, lebar tanah yang dimilikinya adalah 5 meter lebih pendek dari. Contoh soal payback period (periode pengembalian) periode waktu yang menunjukkan berapa lama dana yang diinvestasikan akan bisa kembali contoh: Ada lima bagian utama yang diujikan dalam twk, yaitu.

Varian delta disebut memiliki kemampuan lebih menular dan memicu pasien yang terinfeksi mengalami gejala yang parah.

Contoh soal analisis varians laporan keuangan bank berikut ini adalah file tentang contoh soal 20190723 postingan ini membahas contoh soal varians ragam dan simpangan baku data tunggal. Video ini membahas contoh soal varians data tunggal dan pembahasannya.contoh soalvarians dari data 2, 5, 7, 6, 4, 5, 8, 3 adalah.a. Buat kamu yang ingin masuk dalam agent asuransi jiwa di indonesia pastinya harus mengikuti tes dasar dari asosiasi asuransi jiwa indonesia. 30, 35, 42, 50, 58, 66, 74, 82, 90, 98 tentukan simpangan contoh soal varians 5. Simbol standar deviasi untuk populasi adalah σ dan untuk sampel adalah s. Postingan ini membahas contoh soal varians ragam dan simpangan baku data tunggal tabel frekuensi dan tabel distribusi frekuensi yang disertai pembahasannya atau penyelesaiannnya. Selanjutnya kita akan menggunakan simbol s2 untuk varians karena umumnya kita hampir selalu berkutat dengan sampel dan jarang sekali. Berikut ini adalah 10 contoh soal pewarisan sifat kelas 9 dan pembahasannya. Contoh soal berikut adalah sample nilai uts biostatistik dari sekelompok mahasiswa stikes pemda jombang: Kumpulan contoh soal himpunan matematika dan pembahasannya beserta penyelesaian jawabannya. Untuk contoh soal himpunan diagram venn sd smp sma smk. Contoh soal payback period (periode pengembalian) periode waktu yang menunjukkan berapa lama dana yang diinvestasikan akan bisa kembali contoh: Kita tahu bahwa kumpulan hasil pengamatan mengenai sesuatu hal, skor hasil belajar para siswa, berat bayi yang baru lahir.

Posting Komentar untuk "Contoh Soal Varians : Maretong Soal Dan Pembahasan Statistika : Kuadrat dari simpangan baku adalah varian atau ragam."